Featured image of post 【Leetcode】python - [338] Counting Bits 個人解法筆記

【Leetcode】python - [338] Counting Bits 個人解法筆記

整理 LeetCode #338 — DP, linked list。

題目出處

338. Counting Bits

難度

easy

個人範例程式碼

class Solution:
    def countBits(self, n: int) -> List[int]:

        dp = [0 for _ in range(n+1)]

        for i in range(1, n+1):
            if i % 2 == 0: # ood case
                dp[i] = dp[i>>1]
            else: # even case
                dp[i] = dp[i>>1] + 1

        return dp

算法說明

個人覺得算法比較偏 tricky 的題目,看看即可,
要注意的點是在題目不希望我們用 O(nlogn) 去實現,也就是不希望我們「一個一個算」,

題目希望我們用 O(n) 時間完成,也就是我們必須想辦法「找到數字之間的相關性」,
就可以猜測這個做法應該跟 dp 有關

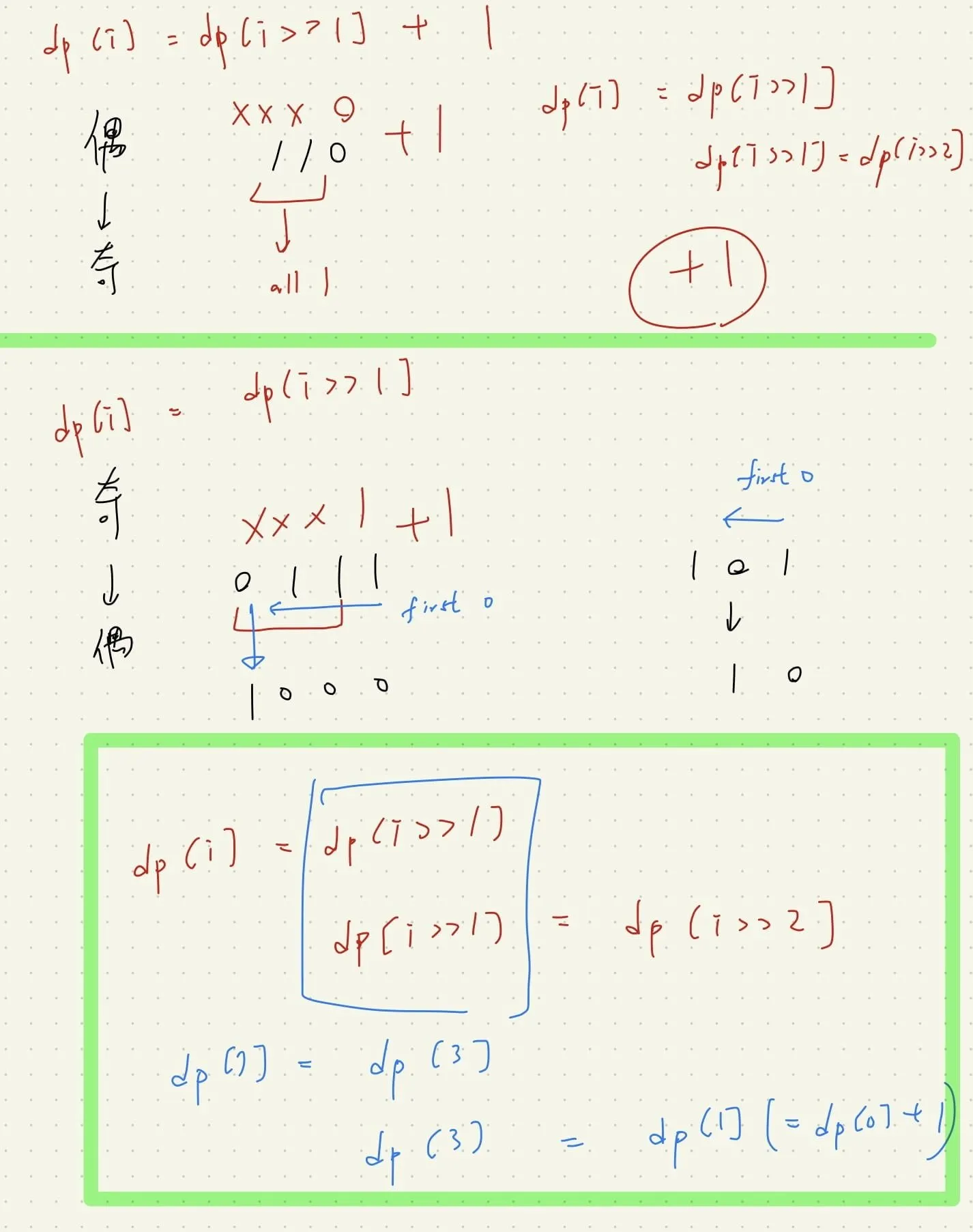
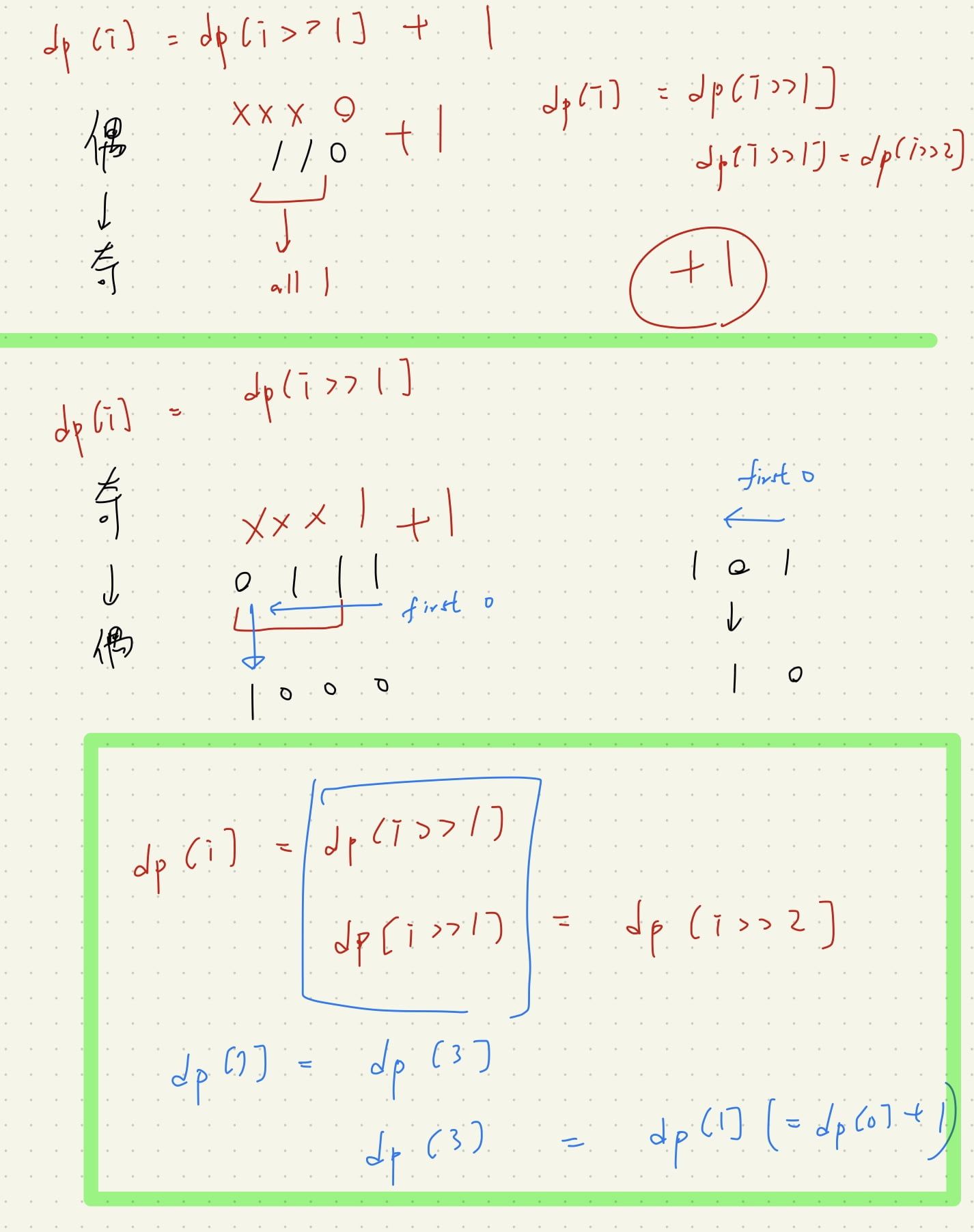
推理 dp 相關性

推理過程我們拆成奇數跟偶數分析,我們發現

  • 偶 -> 奇:最好討論的情況,因為末位一定是 0,dp[i] = dp[i»1] + 1,(dp[i»1] 代表左側所有位數)
  • 奇 -> 偶:我們觀察後,比較難發現他會找到最低位的 0 第一次出現的位置 (不懂可以看圖),我們要做有點連環式的 dp 分析
  • 例如: '101' -> '110' ,我們可以不管他前一個數字 '101' 是啥, 我們找到 '110' 的 '0' 會知道它的結果等於 dp['11']
  • 例如: '1111' -> '10000' ,我們可以不管他前一個數字 '11111' 是啥, 我們找到 '10000' 的 '0' 會知道它的結果等於 dp['1000'], 而 dp['1000'] = dp['100'] = dp['10'] = dp['1'] = dp['0'] + 1, 類似這樣的連鎖效應。
  • 【Leetcode】python - [338] Counting Bits 個人解法筆記

    input handling

    一同在 dp 內處理

    Boundary conditions

    用 for 迴圈控制範圍

    Reference

    使用 Hugo 建立
    主題 StackJimmy 設計