前言
這是我自己理解後所做的演算法筆記。
動態規劃 (Dynamic programming,DP)
先備知識
討論動態規劃前,我們要先有 divide and conquer (將大問題化為多個小問題) 的觀念,
我們先將大問題化為多個小問題後,開始分析這些小問題裡面,
如何最佳化我們演算的效率。
觀念
動態規劃 (Dynamic programming,DP) 中,我們更著重在討論這些小問題 (或說子問題),
怎麼樣去解決才能夠有最佳效率,我們會發現,在很多大問題化為的子問題中,
我們會碰到大量的「解決相同(重複)子問題」情況,造成演算效率變差。
例子
我們舉最經典的「費波納奇數列」為例:
- f(0) = 0
- f(1) = 1
- f(x) = f(x-1) + f(x-2) (n >= 2)
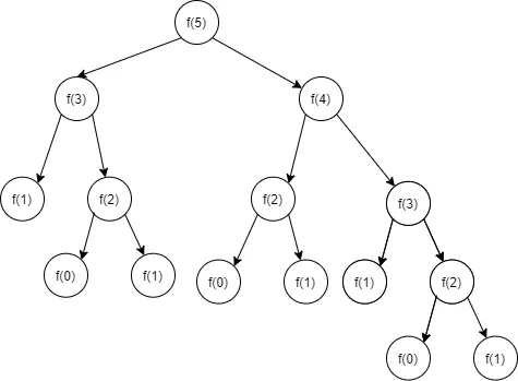
未使用動態規劃 解 f(5)

每一個箭頭,都表示我們要做一次加法,
我們的總計算量 = 14 次
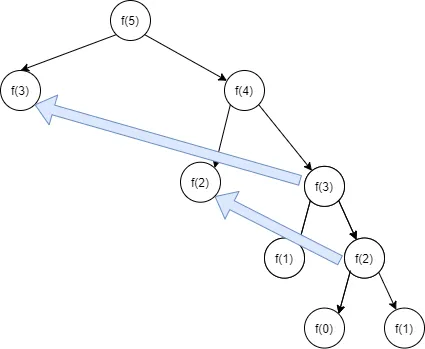
使用動態規劃 解 f(5)
我們先建立一個表格,當算出一次結果時,就保存在表中。
| x | f(x) |
|---|---|
| 0 | 0 |
| 1 | 1 |
| 2 | 1 |
| 3 | 2 |
| 4 | 3 |
| 5 | 5 |
- 於是透過查表產剩下面的結果:

每一個箭頭,都表示我們要做一次加法,
藍色箭頭表示我們因為已經算過一次 (並儲存答案在表中),
所以我們直接查表找答案。
我們的總計算量 = 8 次
結論
雖然上面的例子看起來不會差太多,
那是因為我們舉的例子數字還小,
實際上的「時間複雜度」
- 未使用 DP: O(2^n) -> 約 2 的 n 次方
- 使用 DP: O(n)
這樣有沒有使用 DP 的差別就夠明顯了吧!
